Appendix 9-50 Foreclosure Checklist
| Library | The Virginia Lawyer: A Deskbook for Practitioners (Virginia CLE) (2018 Ed.) |
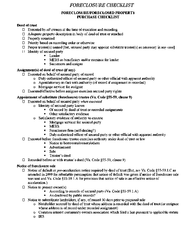
APPENDIX 9-50

[Page 1426]

Get this document and AI-powered insights with a free trial of vLex and Vincent AI
Get Started for FreeStart Your Free Trial of vLex and Vincent AI, Your Precision-Engineered Legal Assistant
-
Access comprehensive legal content with no limitations across vLex's unparalleled global legal database
-
Build stronger arguments with verified citations and CERT citator that tracks case history and precedential strength
-
Transform your legal research from hours to minutes with Vincent AI's intelligent search and analysis capabilities
-
Elevate your practice by focusing your expertise where it matters most while Vincent handles the heavy lifting
Start Your Free Trial of vLex and Vincent AI, Your Precision-Engineered Legal Assistant
-
Access comprehensive legal content with no limitations across vLex's unparalleled global legal database
-
Build stronger arguments with verified citations and CERT citator that tracks case history and precedential strength
-
Transform your legal research from hours to minutes with Vincent AI's intelligent search and analysis capabilities
-
Elevate your practice by focusing your expertise where it matters most while Vincent handles the heavy lifting
Start Your Free Trial of vLex and Vincent AI, Your Precision-Engineered Legal Assistant
-
Access comprehensive legal content with no limitations across vLex's unparalleled global legal database
-
Build stronger arguments with verified citations and CERT citator that tracks case history and precedential strength
-
Transform your legal research from hours to minutes with Vincent AI's intelligent search and analysis capabilities
-
Elevate your practice by focusing your expertise where it matters most while Vincent handles the heavy lifting
Start Your Free Trial of vLex and Vincent AI, Your Precision-Engineered Legal Assistant
-
Access comprehensive legal content with no limitations across vLex's unparalleled global legal database
-
Build stronger arguments with verified citations and CERT citator that tracks case history and precedential strength
-
Transform your legal research from hours to minutes with Vincent AI's intelligent search and analysis capabilities
-
Elevate your practice by focusing your expertise where it matters most while Vincent handles the heavy lifting
Start Your Free Trial of vLex and Vincent AI, Your Precision-Engineered Legal Assistant
-
Access comprehensive legal content with no limitations across vLex's unparalleled global legal database
-
Build stronger arguments with verified citations and CERT citator that tracks case history and precedential strength
-
Transform your legal research from hours to minutes with Vincent AI's intelligent search and analysis capabilities
-
Elevate your practice by focusing your expertise where it matters most while Vincent handles the heavy lifting