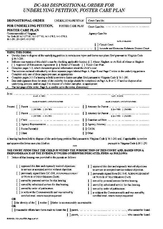
Appendix 13-9 Dc-553 Dispositional Order for Underlying Petition, Foster Care Plan

LibraryJuvenile Law and Practice in Virginia (Virginia CLE) (2018 Ed.)

APPENDIX 13-9

APPENDIX 13-9

[Page 622]

[Page 623]

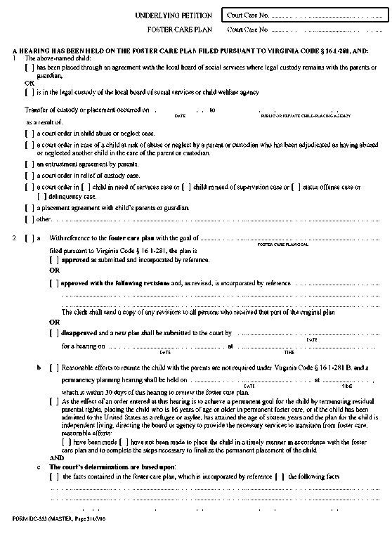
[Page 624]

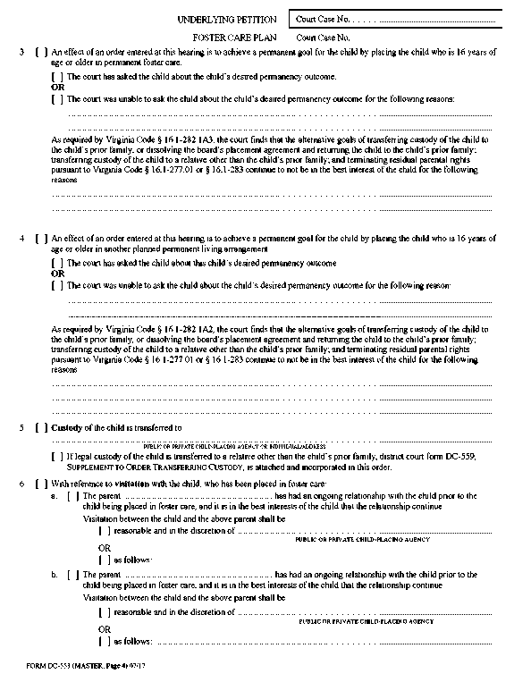
[Page 625]

[Page 626]

[Page 627]

[Page 628]

[Page 629]

[Page 631]

Get this document and AI-powered insights with a free trial of vLex and Vincent AI

Get Started for Free

Start Your Free Trial of vLex and Vincent AI, Your Precision-Engineered Legal Assistant

  • Access comprehensive legal content with no limitations across vLex's unparalleled global legal database

  • Build stronger arguments with verified citations and CERT citator that tracks case history and precedential strength

  • Transform your legal research from hours to minutes with Vincent AI's intelligent search and analysis capabilities

  • Elevate your practice by focusing your expertise where it matters most while Vincent handles the heavy lifting

vLex

Start Your Free Trial of vLex and Vincent AI, Your Precision-Engineered Legal Assistant

  • Access comprehensive legal content with no limitations across vLex's unparalleled global legal database

  • Build stronger arguments with verified citations and CERT citator that tracks case history and precedential strength

  • Transform your legal research from hours to minutes with Vincent AI's intelligent search and analysis capabilities

  • Elevate your practice by focusing your expertise where it matters most while Vincent handles the heavy lifting

vLex

Start Your Free Trial of vLex and Vincent AI, Your Precision-Engineered Legal Assistant

  • Access comprehensive legal content with no limitations across vLex's unparalleled global legal database

  • Build stronger arguments with verified citations and CERT citator that tracks case history and precedential strength

  • Transform your legal research from hours to minutes with Vincent AI's intelligent search and analysis capabilities

  • Elevate your practice by focusing your expertise where it matters most while Vincent handles the heavy lifting

vLex

Start Your Free Trial of vLex and Vincent AI, Your Precision-Engineered Legal Assistant

  • Access comprehensive legal content with no limitations across vLex's unparalleled global legal database

  • Build stronger arguments with verified citations and CERT citator that tracks case history and precedential strength

  • Transform your legal research from hours to minutes with Vincent AI's intelligent search and analysis capabilities

  • Elevate your practice by focusing your expertise where it matters most while Vincent handles the heavy lifting

vLex

Start Your Free Trial of vLex and Vincent AI, Your Precision-Engineered Legal Assistant

  • Access comprehensive legal content with no limitations across vLex's unparalleled global legal database

  • Build stronger arguments with verified citations and CERT citator that tracks case history and precedential strength

  • Transform your legal research from hours to minutes with Vincent AI's intelligent search and analysis capabilities

  • Elevate your practice by focusing your expertise where it matters most while Vincent handles the heavy lifting

vLex

Start Your Free Trial of vLex and Vincent AI, Your Precision-Engineered Legal Assistant

  • Access comprehensive legal content with no limitations across vLex's unparalleled global legal database

  • Build stronger arguments with verified citations and CERT citator that tracks case history and precedential strength

  • Transform your legal research from hours to minutes with Vincent AI's intelligent search and analysis capabilities

  • Elevate your practice by focusing your expertise where it matters most while Vincent handles the heavy lifting

vLex